Return to previous page | Return to menu

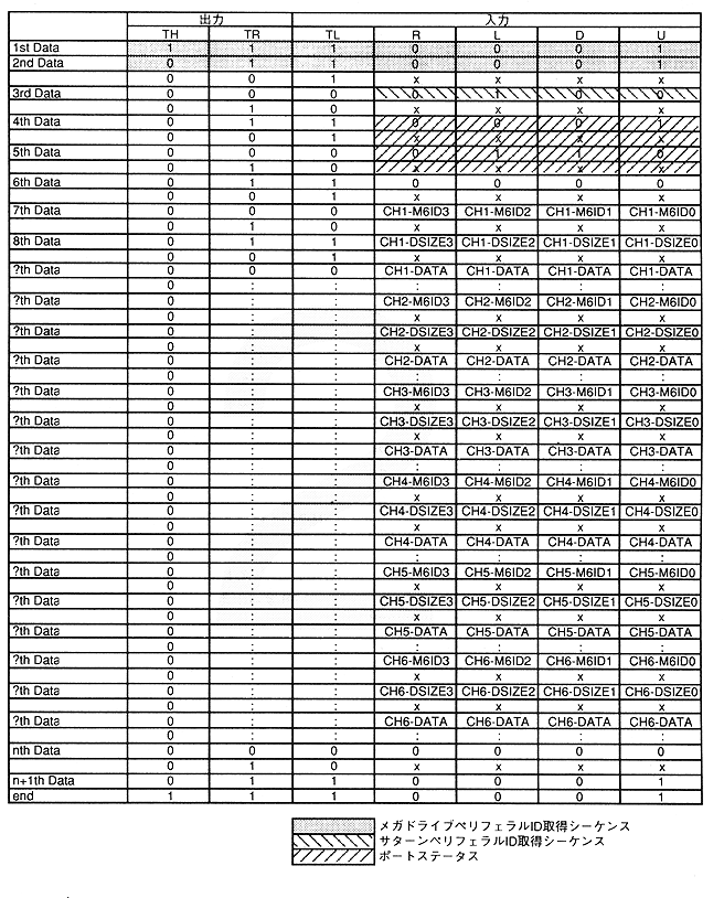
Table 3.39 Saturn 6P multi-tap data format in SH-2 direct mode


Return to previous page | Return to menu